吉林大学2018年硕士研究生招生工作已经基本结束,根据教育部、吉林省教育考试院及吉林大学相关规定,经学院(中心、所)考核合格,现将我校拟录取名单予以公示(见附件),公示期为2018年5月15日至2018年5月28日,如有异议请于公示期内向吉林大学招生办公室、纪委办公室反映。对弄虚作假者,一经查实,按有关规定取消录取资格。
招生办公室:吉林大学鼎新楼A414室 电话:0431-85166371
纪委办公室:吉林大学鼎新楼A341室 电话:0431-85167467
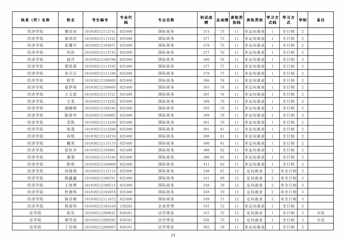
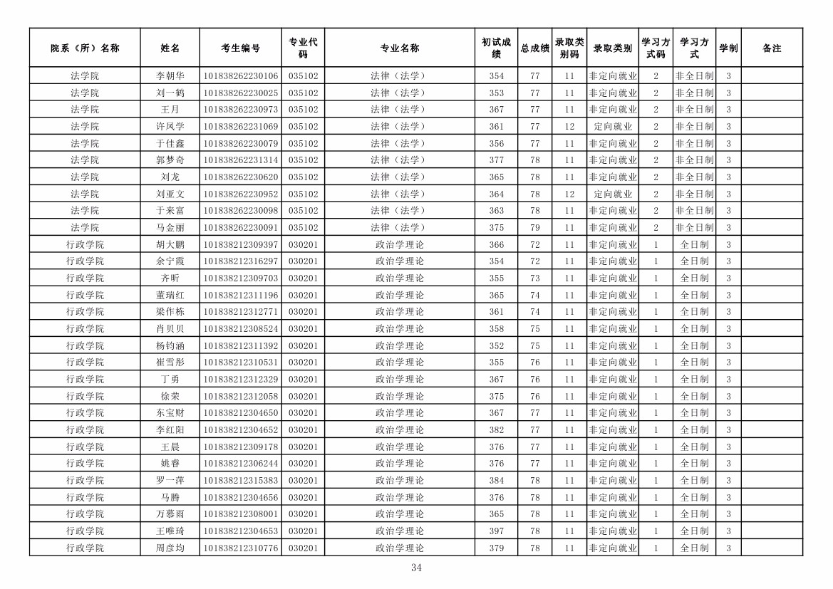
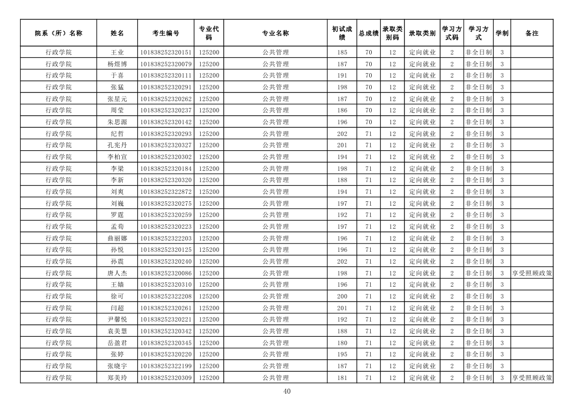
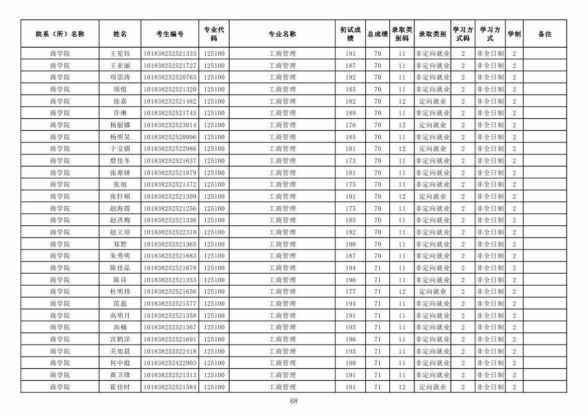
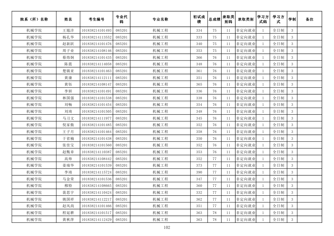
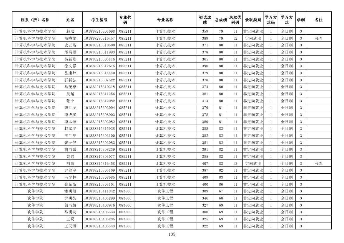
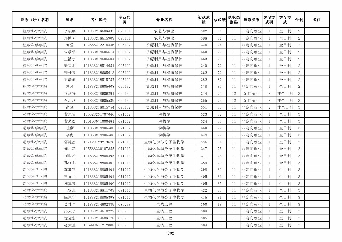
附件: 2018年硕士研究生拟录取名单
吉林大学招生办公室
2018年5年15日
2018年硕士研究生拟录取名单


















































































































































































































